Remember...
- if a number is divisible by another number then it is divisible by each of the factors of that number.
- If a number is divisible by two co-prime numbers then it is divisible by their product also.
- If two given numbers are divisible by a number, then their sum is also divisible by that number.
- If two given numbers are divisible by a number, then their difference is also divisible by that number.
1. Which of the following statements are true?
- If a number is divisible by 3, it must be divisible by 9.
- If a number is divisible by 9, it must be divisible by 3.
- A number is divisible by 18, if it is divisible by both 3 and 6.
- If a number is divisible by 9 and 10 both, then it must be divisible by 90.
- If two numbers are co-primes, at least one of them must be prime.
- All numbers which are divisible by 4 must also be divisible by 8.
- All numbers which are divisible by 8 must also be divisible by 4.
- If a number exactly divides two numbers separately, it must exactly divide their
sum. - If a number exactly divides the sum of two numbers, it must exactly divide the two
numbers separately.
Answer:
- If a number is divisible by 3, it must be divisible by 9. [False]
- If a number is divisible by 9, it must be divisible by 3.[True]
- A number is divisible by 18, if it is divisible by both 3 and 6.[True]
- If a number is divisible by 9 and 10 both, then it must be divisible by 90.[True]
- If two numbers are co-primes, at least one of them must be prime.[False]
- All numbers which are divisible by 4 must also be divisible by 8.[False]
- All numbers which are divisible by 8 must also be divisible by 4.[True]
- If a number exactly divides two numbers separately, it must exactly divide their
sum.[True] - If a number exactly divides the sum of two numbers, it must exactly divide the two
numbers separately.[False]
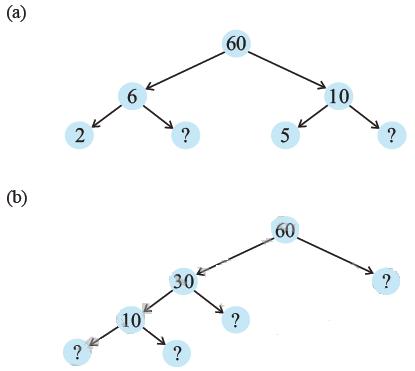
2. Here are two different factor trees for 60. Write the missing numbers.

Answer:

3. Which factors are not included in the prime factorisation of a composite number?
Answer: We know that :
1. The numbers other than 1 whose only factors are 1 and the number itself are called Prime numbers.
2. Numbers having more than two factors are called Composite numbers.1 and the number itself
3. 1 is neither a prime nor a composite number.
Going by the above statement it is clear 1 and the number itself, are the factors which are not included in the prime factorisation of a composite number.
4. Write the greatest 4-digit number and express it in terms of its prime factors.
Answer:
| The greatest 4-digit number is 9999 and its factors can be found as described below: | ||||||||
| ||||||||
| Hence greatest 4-digit number number 9999 can be expressed in the form of its prime factors as 3 × 3 ×11 × 101 |
5. Write the smallest 5-digit number and express it in the form of its prime factors.
Answer:
| The smallest 5-digit number is 10000 and its factors can be found as described below: | ||||||||||||||||
| ||||||||||||||||
| Hence the smallest 5-digit number 10000 can be expressed in the form of its prime factors as 2 ×2 ×2 ×2 ×5 ×5 ×5×5 |
6. Find all the prime factors of 1729 and arrange them in ascending order. Now state the
relation, if any; between two consecutive prime factors.
Answer:
| The the prime factors of 1729 can be found as described below : | ||||||
| ||||||
| Hence number 1729 can be expressed in the form of its prime factors as 7 ×13 ×19. Relation between its two consecutive prime factors. The consecutive prime factors are 7, 13 and 13 , 19. Clearly 13-7=6 and 19-13= 6. Here difference of two consecutive prime factors is 6 |
7. The product of three consecutive numbers is always divisible by 6. Verify this statement
with the help of some examples.
Answer:
| Case 1. Let us take three consecutive numbers 6, 7, 8 | |
| Product of these numbers : 6 × 7 × 8 = 336. Also 336 ÷ 6=56 | |
| Case 2. Let us take another three consecutive numbers 4, 5, 6 | |
| Product of these numbers : 4 × 5 × 6 = 120. Also 120 ÷ 6=20 | |
| Case 3. Let us take one more set of three consecutive numbers 9, 10, 11 | |
| Product of these numbers : 9 × 10× 11 = 990. Also 990 ÷ 6=165 | |
| From the above example it is clear that the product of three consecutive numbers is always divisible by 6 | |
the help of some examples.
Answer:
| Example 1. Let us take two consecutive odd numbers 3 and 5 | |
| Sum of these numbers : 3 + 5 = 8.Also 8 ÷ 4=2 | |
| Example 2. Let us take two consecutive odd numbers 11 and 13 | |
| Sum of these numbers : 11 + 13 = 24. Also 24 ÷ 4=6 | |
| Example 3. Let us take others two consecutive odd numbers 21 and 23 | |
| Sum of these numbers : 21 + 23 = 44. Also 44 ÷ 4=11 | |
| From the above examples it is clear The sum of two consecutive odd numbers is divisible by 4 | |
9. In which of the following expressions, prime factorisation has been done?
(a) 24 = 2 × 3 × 4 (b) 56 = 7 × 2 × 2 × 2
(c) 70 = 2 × 5 × 7 (d) 54 = 2 × 3 × 9
Answer:
| (a) 24 = 2 × 3 × 4 | ||||||||
| The above can be verified after finding the correct prime factorisation for 24 as described below: | ||||||||
| ||||||||
| The prime factorisation for 24 = 2× 2 ×2 × 3 which is not as given so prime factorisation for 24 has not been done |
(b) 56 = 7 × 2 × 2 × 2
The above can be verified after finding the correct prime factorisation for 56 as described below:
| 2 | 56 |
| 2 | 28 |
| 2 | 14 |
| 7 |
(c) 70 = 2 × 5 × 7
The above can be verified after finding the correct prime factorisation for 70 as described below:
| 2 | 70 |
| 5 | 35 |
| 7 |
(d) 54 = 2 × 3 × 9
The above can be verified after finding the correct prime factorisation for 54 as described below:
| 2 | 54 |
| 3 | 27 |
| 3 | 9 |
| 3 |
10. Determine if 25110 is divisible by 45.
[Hint : 5 and 9 are co-prime numbers. Test the divisibility of the number by 5 and 9].
Answer: We know that If a number is divisible by two co-prime numbers then it is divisible
by their product also.
Here 45 = 5 × 9 and also 5 and 9 are co-prime numbes.
Also 25110 ÷ 5 = 5022 and 25110 ÷ 9 = 2790
As 25110 is divisible by co-prime numbers 4 and 5 there for 25110 will also be divisible by their product i.e. 45
11. 18 is divisible by both 2 and 3. It is also divisible by 2 × 3 = 6. Similarly, a number
is divisible by both 4 and 6. Can we say that the number must also be divisible by
4 × 6 = 24? If not, give an example to justify your answer.
Answer:
No. Number 12 is divisible by both 4 and 6; but 12 is not divisible by 4×6=24.
Similarly Number 36 is divisible by both 4 and 6; but 36 is not divisible by 4×6=24.
Also Number 60 is divisible by both 4 and 6; but 60 is not divisible by 4×6=24.
12. I am the smallest number, having four different prime factors. Can you find me?
Answer: We know that starting from the beginning we have 4 different prime numbers as 2, 3, 5, 7 and their product will be the required number i.e. 2×3×5×7 = 210
A number is divisible by 18, if it is divisible by both 3 and 6.[False]
ReplyDeletecan any one justify the above statement?
All numbers which is divisible by 18 should be divisble by both 3 and 6
Not 3 & 6 , it will divide by 9 and. 2 these are coprimes,
DeleteMultiple of 3&6.
Delete3: 3,6,9,12..
6:6,12,18,24.....
So 12 is not a multiple of 18
If two numbers are co-primes, at least one of them must be prime.[True]
ReplyDeletePlease explain. 9 an 10 both are not prime numbers but co prime because the common factor is 1
Very informative
ReplyDeleteVery informative .nice sir
ReplyDeleteThank you sir
ReplyDeleteGreat bro you also do all ncert books answers but explain how we can solve
ReplyDelete